Theorem. An n-Dimensional F Integral
Theorem.
Comment.
for
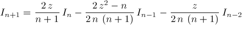
satisfy a linear recurrence relation. This linear recurrence relation can be explicitly computed. Example.
Example.
An n-Dimensional G Integral
Theorem.
Definite Integrals Definition.
Theorem.
|
This note (
Suppose
and
.
.
is not a negative integer and
is a positive integer. Then


are generated by a finite dimensional basis over
, the indefinite integrals









. Then