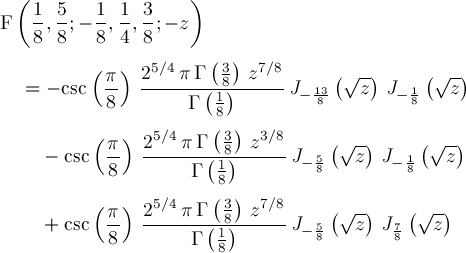
Up
Page 286