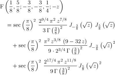
Page 285