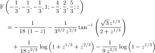
Up
Page 544