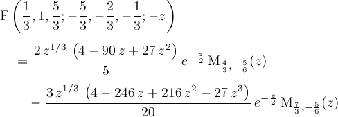
Up
Page 519