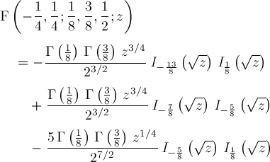
Page 187