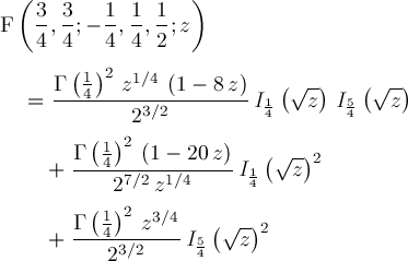
Page 197