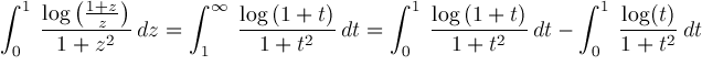
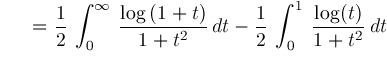
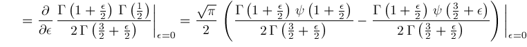
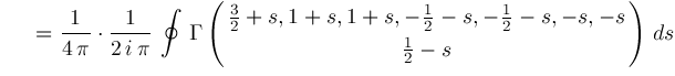
(850.1)
(853.21)
(855.13)
(855.51)
(856.12)
(858.3(1))
(858.45(1))
(858.502)
(858.516)
(858.516)
(858.524(2))
(858.533)
(858.540(2))
(858.550)
(858.560(2))
(858.630(1))
(858.653)
(858.713)
(858.821)
(859.002)
(859.014)
(859.124)
(859.165)
(860.12)
(860.24)
(860.39)
(860.41)
(860.504)
(860.509)
(860.518)
(860.519)
(860.549)
(860.82)
(860.90)
(861.05)
(861.21)
(861.62)
(861.83)
(863.05)
(863.32)
(863.52)
(863.82)
(864.03)
(864.52)
(864.73)
(865.21)
(865.33)
(865.43(1))
(865.61)
(865.62)
(865.73(2))
(865.903)
(866.01(1))
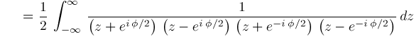
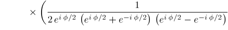
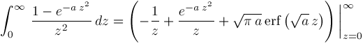
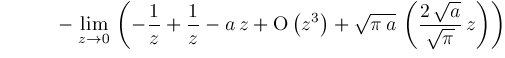
Reference: |
This note (




























































































































