Page 62
Generator:
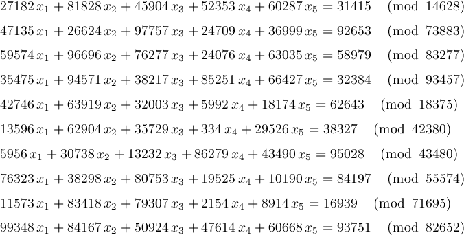
Problem:
Solution:
TXT Version:
Page62.txt