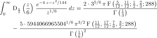
Page 22