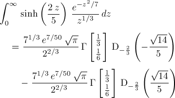
Page 26