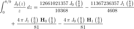
Up
Page 8