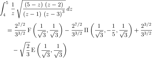
Up
Page 22