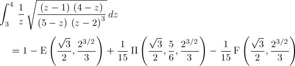
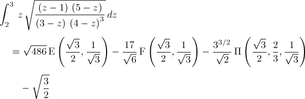
Up
Page 49