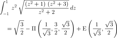
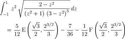
Page 5