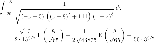
Up
Page 43