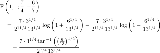
Up
Page 58