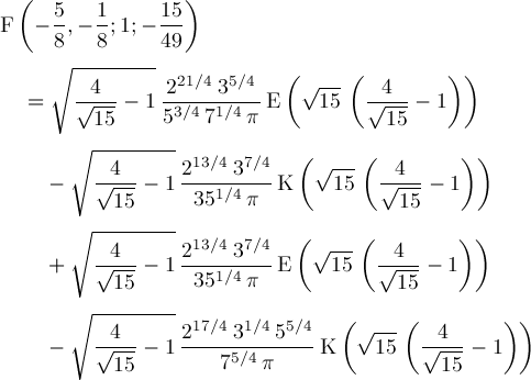
Page 38