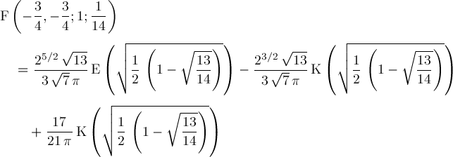
Page 52