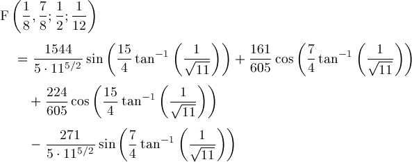
Page 53