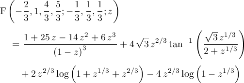
Up
Page 526