Up
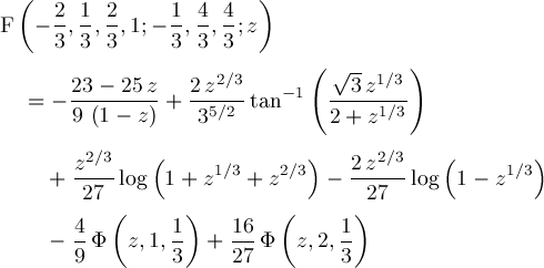
Page 492