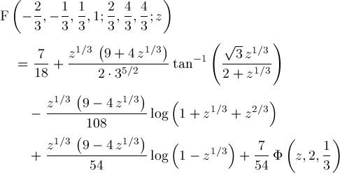
Up
Page 466