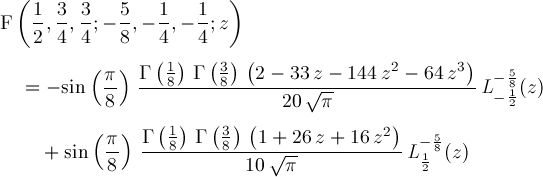
Up
Page 531