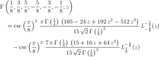
Page 273