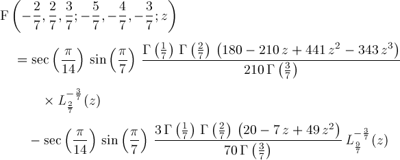
Page 61