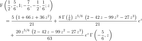
Page 122