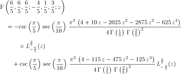
Up
Page 654