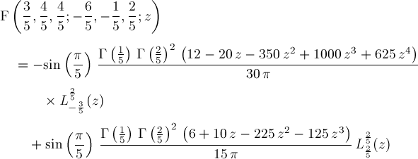
Up
Page 584