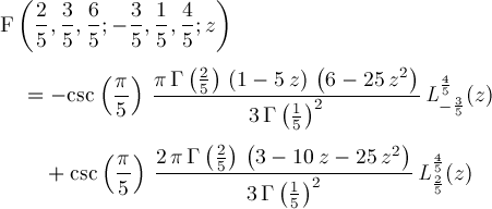
Up
Page 518