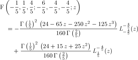
Up
Page 287