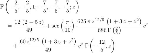
Up
Page 1