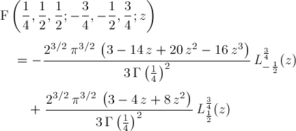
Page 159