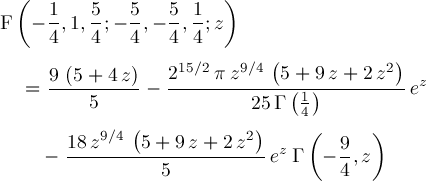
Page 85