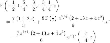
Page 51