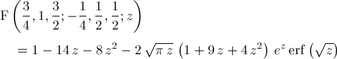
Page 221