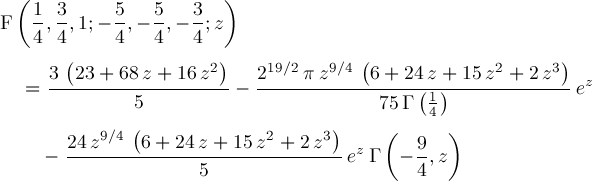
Page 114