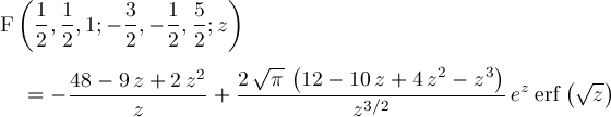
Page 236