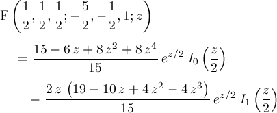
Page 227