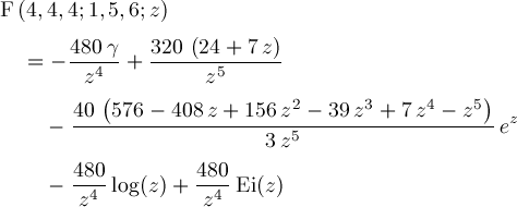
Page 49