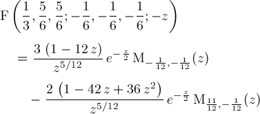
Page 244