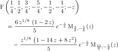
Page 211