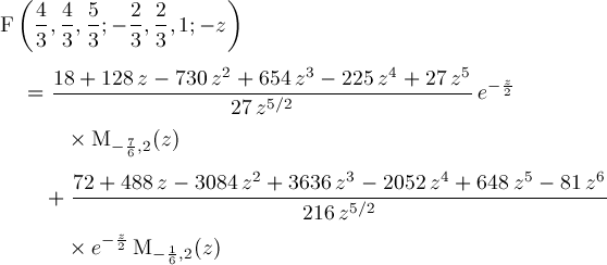
Up
Page 706