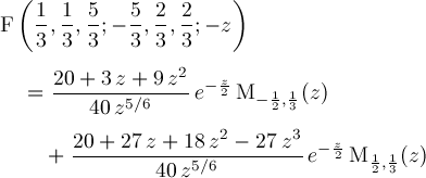
Page 461