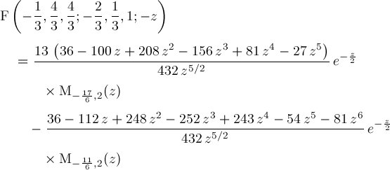
Page 406