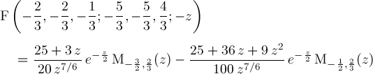
Up
Page 166