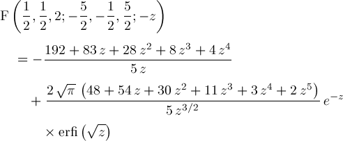
Page 333