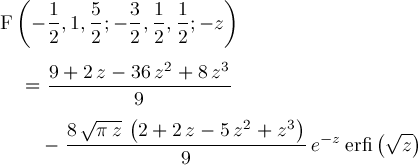
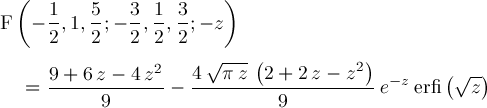
Up
Page 266