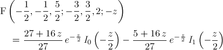
Page 229