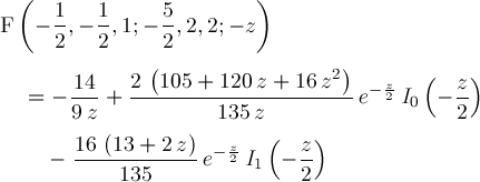
Page 206